Connect with us

Ancash: Municipalidad de Paucas única a nivel de Huari en cumplimiento de metas

Foto: Ancash Noticias

Áncash

Ancash: Municipalidad de Paucas única a nivel de Huari en cumplimiento de metas

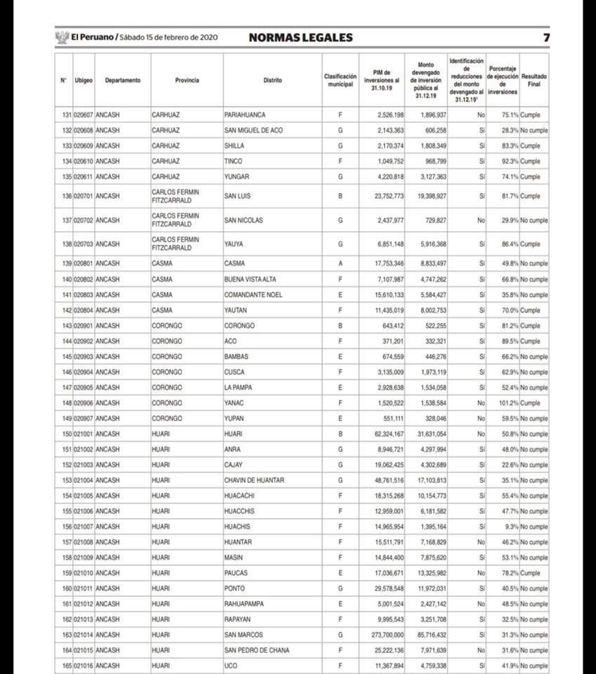
De los 16 distritos de la provincia de Huari, cumplió con la ejecución de las metas obteniendo un puntaje de 78.2%.

La Municipalidad Distrital de Paucas, liderado por su Alcalde, Shumaher Y. Bayona Gambini, cumplió la meta de inversión al 31 de diciembre de 2019, según Resolución Directoral Nº 010-2020-EF/50.01, publicado en el diario El Peruano, donde aprueban los resultados de la evaluación del cumplimiento de las metas del Reconocimiento a la Ejecución de Inversiones establecidas al 31 de diciembre de 2019.

El equipo técnico de la Municipalidad Distrital de Paucas, durante el período 2019 cumplió con la ejecución de las metas propuestas para su categoría E, dentro del Plan de Incentivos a la Gestión Municipal que promueve el Ministerio de Economía y Finanzas, hasta el 31 de diciembre de 2019, por lo cual se le asignará recursos como reconocimiento a la ejecución de inversiones durante el año fiscal 2020.

Ante este resultado positivo el burgomaestre Paucasino, se mostró muy optimista en seguir ejecutando proyectos y obras que mejoren la calidad de vida del ciudadano, motivo por la cual se viene cumpliendo las metas asignadas por el Ministerio de Economía y Finanzas.

Más en Áncash

(adsbygoogle = window.adsbygoogle || []).push({});

Tendencia

Colapso de puente en la vía Catac–Conococha obliga a buses Lima–Huaraz a desviar su ruta por Casma

By marzo 11, 2026

El tránsito quedó interrumpido en ambos sentidos tras el desplome del puente Sahuay en la...

Huaraz: Sujeto es detenido mientras investigan presunto caso de agresión contra un menor

By marzo 9, 2026

El jefe de la Divincri, Percy Chacón, informó que un hombre se encuentra detenido mientras...

Huaraz: aprueban presupuesto para 37 municipalidades de centros poblados

By marzo 10, 2026

El regidor David Menacho señaló que cada centro poblado recibirá más de S/ 8 mil...

Huaraz: Detienen a hombre investigado por presunto delito contra menor en Tacllan

By marzo 10, 2026

La intervención fue realizada por agentes de la Comisaría PNP Tacllán durante un operativo policial...

Detienen a sujeto durante examen de admisión de la Unasam por presunta suplantación

By marzo 9, 2026

Ministerio Público de Áncash informó sobre intervención ocurrida durante el proceso de admisión universitario.

To Top

You cannot copy content of this page